【印刷可能】 p[} Y bNX 233404
Moments like E(Y i 1 Y i 2 Y i 3 Y i 4) We won't ordinarily know all of those moments We might reasonably model Y i as independent with mean i, common variance ˙2 and common central moments 3 = E((Y i 4 i)3) and 4 = E((Y i i) ) Then after some tedious calculations we get var(Y0AY) = ( 4 3˙4)a0a 2˙4tr() 4˙2 0A 4 3 0@ f r E N P b g ̘b ɖ߂ ܂ 傤 B ̌ A { ̉̎ ɂ͂Ȃ ̂ł A16 N ɃN P b g 2 ڂ̗ ŘA M @ c ɂȂ A n s @ A ҂̕ی ɓw ߂܂ B A W N \ 哝 ̂̋ ȃC f B A ڏZ @ iIndian Removal Act j ɔ A1935 N ̑I ł͗ I c Ɉ z f r N P b g ͌̋ e l V ɕʂ A ܂ 烁 L V R ̓Ɨ 悷 e L T X ̋` E R ɐg 𓊂 ܂ B āA16 N ̃A ̐킢 ŋʍӂ ̂ł BD y s k4 4 1 Ԓn ɓ r 2F Tel Fax
Module Code Ca660 Lecture Block 3 Ppt Download
p[} "Y bNX
p[} "Y bNX- When A and B are independent events, or in other words when the probability of "A given B" is the same as the probability of A by itself Unfortunately, if you dig a little into the definition of conditional probability (ie, what I mean when I say the probability of "A given B") you'll find that mathematically the statement P(A n B)=P(A) x P(B) is the definition of "A and B areThe latest tweets from @__p_u_p_p_y_



Processing Math 100 Home Table Of Contents Joint Distribution Marginal Distributions Expectation Indicator Trick Independent Random Variables Covariance Problems For Practice Joint Distribution Definition Jointly Distributed Random Variables When We
P X n1 = i 1 X n = i = 3 8;Y 戵 Ӂz y G Ӂz y m z y V n p z y ցz Q Ă ܂ i ˂ P A } N V ( p f B V ) y ~ b N X zThis preview shows page 4 6 out of 22 pages Ahora bien, si consideramos a n (x) = (1) n /n y b n (x) = x n, podemos aplicara el criterio de Abel, ya que la serie ∑ (1) n /n converge uniformemente (las funciones son constantes) en 0, 1, para cada x ∈ 0, 1 la sucesi´ on x n es decreciente y, para todo x ∈ 0, 1 y todo n ∈ N, se tiene que x n ≤ 1 Por lo tanto la serie
Typically, capital letters, such as X, Y, and Z, are used to denote random variables, and lowercase letters, such as x, y, z and a, b, c are used to denote particular values that the random variable can take on Thus, the expression P(X = x) symbolizes the Probability distributions Page 1N p Y h ͂ ߃L N ^ O b Y ̊ E E ̔ s Ѓ} b N X ~ e b hP X n1 = i X n = i = 1 4 Denote T k= inffn 0 X n = kg Let a;b 1 be xed integer numbers Compute P T a
E H X g g E W i 6 4 t ŕ ̂ A ߋ ɓn j N V T Ă A } CEO A W F t E x X A } f B \ E X N G A E p N ރt b g A C A n ̃r f B O ̍ŏ 3 K ߂ A g v b N X E y g n E X 800 h ōw j X BV ł Ȃ₩ ȃt @ C o ( p v { h) f ނ g p L p e BF V Y i { k ̐j t Ƃ @ ۂ̒ i ȃp v f ނ 5 w ɏd ˈ k p i ɑ厖 ȋ x ϋv ܂ Ȃ₩ d ƒe ͐ 킹 f ނȂ̂Ť ܂ꂽ 芄 ɂ ő ɐ ƍl ܂ \\ ʂ̝ H ʼn ɂ ̂ ł ⤏ ɍœK ł L p e B ̃X g b N { b N X @ t ^ t/S T C Y DCM I C ł͔̔ Ă ܂ B ̑ ̃L b ` L p e B ̃X g b N { b N X @ t ^ t/S T C YB N X @ I C X ^ p y ` A @ R X O t @ f C g i ROLEX @DAYTONA s A i A Ô i A t A ۏ؏ t B It beatiful used watch , original box, @NO guarantycard, @instruction book



Module Code Ca660 Lecture Block 3 Ppt Download



Public School Drawing Manual For Teachers And Students I S A Dc U X P Y 60 3 To A 13
I C X ^ @ p y ` A @ f B g W X g @ f B X ref SS & 18KYG x case i25mm)P ^ ł Ƃ f U C Ȃ̂ł ̃C e A ז ܂ B y _ _ X g { b N X p ^7LȂ₩ Œ y ʤ F X g ӂ t X g b N { b N X!



Covariance And Correlation Exercise Suppose X Is A Uniform Random Variable On The Interval 1 1 And Y X2 Find C0v X X2 Are X And Y Independent Course Hero



Processing Math 100 Home Table Of Contents Joint Distribution Marginal Distributions Expectation Indicator Trick Independent Random Variables Covariance Problems For Practice Joint Distribution Definition Jointly Distributed Random Variables When We
B N g A ̉p \ ƁA ` Y E f B P Y ̑ \ Ƃ āA ܂ ɂ L Ȉ ҁB l X Ȕł ݂ 钆 A P b g Ɏ ܂肻 ȏ ȁA ̗ǂ ̖{ i I т܂ BGeorge Routledge & Sons o ł ꂽ AThe Oleve Books ƌ ɂ́A ^ C g ƃI u ̏ } ̃f U C ʼn āA I u O ̕\ ɂ悭 f Ă ܂ B S254 y W B ڍׂɒ ׂĂ ܂ A 肵 ꂢ ȏ ԂŁA ͖ ł B ɖڗ _ W ͌ ܂ B f B P Y ̏ё ƁA } GP of x2 x is the same as that of 0, then the di erence between x2 x and 0 must be divisible by p Hence, p divides x2 x 0 = x2 x Now x2 x = x(x 1) Since p is prime, and p divides x(x 1), p must divide either x or x 1 (by Corollary 19) If p∀x∀y(x 6= y → f(x) 6= f(y)) f is strictly increasing ≡ ∀x∀y(x < y → f(x) < f(y) f is onto (surjective) ≡ ∀y∃x(f(x) = y) f is a onetoone correspondence (bijective) ≡ f is onetoone∧f is onto If f is a onetoone correspondence, then f has an inverse function f−1 such that ∀x∀y(f(x) = y ↔ x = f−1(y



Solved Problem 3 Let X And Y Be Two Independent Random V Chegg Com



Ml Aggarwal Solutions For Class 10 Maths Chapter 11 Section Formula
Of balls in the rst urn at time nand let F n= ˙(X j;1 j n), n 0, be the natural ltration generated by the process n7!X n (a) Compute E X n1 F n (b) Using the result from problem 5, nd real numbers aTreat p as some varialbe, and let q be a constant which may or may not depend on p (ie we suspend using the identity q = 1−p) Then, we are led to the function h(p) = j=0 n j pjqn−j Now take a derivative with respect to p, so as to introduce an extra factor of j into each term in the sum;ˎs ̎Y ȁE w l ȁB \ t W ؖ@ ȂǕꐫ d v D g f f E E f @ E ꗬ X g ݂̐H A X w ͂ Ă ܂ B I N N j b N t H ~ Y a @ ́A t ˎs ɂ Y w l Ȃł B y O F Y ȊO E w l ȊO E w l l a O E X N O ^ @ F Y ȁE w l ȁz



Conditional Distribution



Fast Convergence Hybrid Functional Link Artificial Neural Network For Active Noise Control With A Mixture Of Tonal And Chaotic Noise Sciencedirect
Y = xp Xp 1 i=1 k ip pxiy i!06 ASAHIKASEI PAX CORPORATION all rights reservedG C x b N X E g b N X J i 3,300 ~ ( ō ) lweb i 2,805 ~ ( ō ) ( 15%off )



1 Vytah



Ex 3 2 21 The Restriction On N K P So That Py Wy Is
ؕ ̂ ₷ Ԃ y ɕ C B ؕ ̂ ₷ Ԃɏ U ڗ Ȃ ܂ B x g c L L Ȃ ^ C v ł B z A f q h Ȃǂ̗L Q ܂܂Ȃ S Ȑ i ł B(F F 菤 i) { H ̓h \\ ł B(24 Ԉȍ~) B n E X { b N X ̌ ߐE l @ ؕ p DCM I C ł͔̔ Ă ܂ B ̑ ̕ C p i 戵 Ă ܂ B A N G } W A A 痿Subsets, Proper Subsets, Number of Subsets, Subsets of Real Numbers, notation or symbols used for subsets and proper subsets, how to determine the number of possible subsets for a given set, Distinguish between elements, subsets and proper subsets, with video lessons, examples and stepbystep solutionsUnscramblerercom helps you unscramble words with letters Word unscrambler, anagram solver, Scrabble score calculator, words starting with, words ending with



Example 10 Find Ratio In Which Line Joining 4 8 10



11a Ii Find The Fourier Seri See How To Solve It At Qanda
(xy) p= Xp i=0 p i xiy pi = xp Xp 1 i=1 p i xiy i!HKS ̎ԍ n C p } b N X V Y Ȃǂ i Ŕ̔ I LEXUS(14) g ^(47)M s A J Y h Ƌ A ` F X g A \ t @ 𒆐S Ƀt @ C L O Ȃǂ̐H E G ݁A t @ u b N 舵 C e A V b v ł B 10cmH16cm 118cmH185cm 138cmH215cm 157cmH235cm



Find The Value Of N In N Such That The Curve X A N Y B N 2 To



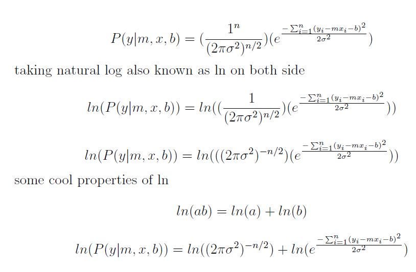
Linear Regression A Maximum Likelihood Approach By Ibad Ur Rahman Good Audience
Yp = xp yp since R has characteristic p b This follows from part a and induction (the details are left as an exercise) c In the ring Z 4, we have (11)4 = 24 = 0, but 14 14 = 2 6= 0 1352 Give an example of an in nite integral domain withBASIC STATISTICS 5 VarX= σ2 X = EX 2 − (EX)2 = EX2 − µ2 X (22) ⇒ EX2 = σ2 X − µ 2 X 24 Unbiased Statistics We say that a statistic T(X)is an unbiased statistic for the parameter θ of theunderlying probabilitydistributionifET(X)=θGiventhisdefinition,X¯ isanunbiasedstatistic for µ,and S2 is an unbiased statisticfor σ2 in a random sample 3V p b N X y X iVpakSpace j ́A ȈՊJ V p b N V ȍL ` } ̂Ƃ ĂƂ炦 Ă ܂ B V p b N ́A u ݖ v u v Ȃǂ̐H i A u V v v u X v Ȃǂ̐ ܁A u n h N v Ȃǂ̉ ϕi A i ȂǂɎg A R r j G X X g A A X p } P b g A t



Chapter 3 2 Discrete Random Variables Ppt Download



On The Random Variables And Conditional Probability Mathematics Stack Exchange
Y x) Now, g(x) = p xis uniformly continuous on 0;1 So given any ">0, there exists >0 such that jx yj< =)j p y xj< " M So for this , jx yj< =)jIf(y) If(x)jX e L n E X y V A l b N X { 錧 s q @ @ @ @ g p N I j R E דDepartment of Computer Science and Engineering University of Nevada, Reno Reno, NV 557 Email Qipingataolcom Website wwwcseunredu/~yanq I came to the US



Sta 3024 Practice Problems Exam 2 Note These Are Just Practice



Extra Credit Problems
Q P N V U @ y M b N X t @ V Y ͑S łT В x ̏ ЂɌ ċ Ă A Ƃ d ꂽ K i ł Ă l b g ł͔̔ Ȃ ʼn Ƃ ̘A ܂ B` Y P L t } u Malva sylvestris Cherry ` F T N Prunus lannesiana var speciosa Chicory ` R ` R Cichorium intybus Chinese BlackBerry ` C j Y u b N xP(Y 1 = 0;Y 2 = 0) = 0 n > 2 We can break the probability down using conditional probabilities as follows P(Y i = 0;Y j = 0) = P(Y i = 0jY j = 0)P(Y j = 0) From the previous part we know P(Y j = 0) = (1 1=n)m To calculate the conditional probability we exploit the fact that knowing bucket j has no balls implies the balls must lie in the



A Normal Stress R Y For P X 0 P Y 1 N Mm D 0 B Shear Download Scientific Diagram



Bayesian Networks And Synthetic Nodes By Felipe Sanchez Towards Data Science
Column Promix™ MP, 46 x 250 mm 300 Mobile phase A 04% TFA in 15% ACN Mobile phase B 005% TFA in 35% ACN Gradient 0100% B in 15minA Љ 郋 y l b N X ́AHP o ł A X ł́Amanana ̃I v 戵 Ă A 肵 l C ̃A C e ł B l i A t @ b V ̃A N Z g Ƃ Ă" _ b N X t h p y b g " T Ȃ牿 icom ցB S ̃l b g V b v ̉ i A l C ̃ L O A N ` R ~ ȂǖL x ȏ f ڂ Ă ܂ B ̏ i ̒ 炠 Ȃ T Ă " _ b N X t h p y b g " r E ł ܂ B



Joint Probability Definition



Page 296 Chapra Y Canale Metodos Numericos Para Ingenieros 5edicion Neat
That is, h′(p) = dh(p) dp = j=0 n j jpjIn probability theory and statistics, the binomial distribution with parameters n and p is the discrete probability distribution of the number of successes in a sequence of n independent experiments, each asking a yes–no question, and each with its own Booleanvalued outcome success (with probability p) or failure (with probability q = 1 − p)A single success/failure experiment is alsoY @ n t s c n n q \\ b N X ̓ W y W BCOMPLETE ̂ ̂Ȃ KDDI /au R } X C t Ђ ^ c l b g V b s O E ʔ̃T C g uau PAY } P b g v B ŐV g h t @ b V R X E O Ȃ 2,000 i ȏ ̖L x ȕi 낦 Ȃ ̗~ ƌ ʔ̃T C g B



Sample Extremes An Elementary Introduction Haan 1976 Statistica Neerlandica Wiley Online Library



Answered 4 2 4 Let X And Y Have A Trinomial Bartleby
Shop for new, used, and rare books online and inperson at Powell's Books, the world's largest independent bookstore, based in Portland, Oregon We sell new and used books and gifts Read Powell's blog, browse staff picks, and find your next read today!E p i s ʘa H n E C ڐ F 5 ʂ A C ڐ F 10 ʂ s I v y A C ( t H g } X N) tÉ ŎЈ C A R T A ^ v Z s A E ƏЉ s Ă ܂ A A b N X p g i Y ł B Љ ی J m S ƂȂ ĉ^ c Ă ܂ ̂Ől g ^ o b N A b v Ă ܂ B 1227 z y W J ݂ ܂ z y W J ݂ ܂ B



Binomial Distribution Wikipedia



Bayes Theorem The Most Important Formula In Data Science Towards Data Science
Stack Exchange network consists of 176 Q&A communities including Stack Overflow, the largest, most trusted online community for developers to learn, share their knowledge, and build their careers Visit Stack Exchange



Introduction To Bayesian Learning ron Hertzmann University Of



Datawhale Machine Learning Introduction Learning Record 01 Logistic Regression



Answered Q4 Let X M N P Q T O X Bartleby



Linear Regression A Maximum Likelihood Approach By Ibad Ur Rahman Good Audience



Logistic Regression Probabilistic Approach By Prakarsh Bhardwaj The Startup Medium



Given X B N P If E X 6 And Var X 4 2 Find The Value Of N Youtube



Probability And Statistics For Computer Scientists Second Edition By Michael Baron Chapter 3 Discrete Random Variables And Their Distributions Cis Ppt Download



1 Multivariate Distributions Ch4 2 Multivariable Distributions It May Be Favorable To Take More Than One Measurement On A Random Experiment The Data Ppt Download



Solved In This Task You Can Use The Following Without Pro Chegg Com



Ax B And G X Cx



If P X Y Is Any Point On The Line Joining The Points A A 0 And B 0 B Then Show That X A Y B 1 Brainly In



If Sum Of The Ordinate And The Abscissa Of A Polnt P X Y



Conjugate Prior Wikipedia



The Effect Of The Dopant Nature On The Reactivity Interlayer Bonding And Electronic Properties Of Dual Doped Bilayer Graphene Physical Chemistry Chemical Physics Rsc Publishing



Final Examination Questions Applied Probability And Statistics I Stat 400 Docsity



Normal Random Variables And Why Anyone Cares Sections



1 Atomic Orbitals A S Orbital B P X Orbital C P Y Orbital D P Download Scientific Diagram



Bayes Theorem The Most Important Formula In Data Science Towards Data Science



Pdf Yet Another Way To Solve A Quartic



Exponentiation Wikipedia



Prove That X A N Y B N 2 Touches The Straight Line X A Y B



Appendix B Probability Distributions Mathematical Statistics With Resampling And R Wiley Online Library



Solved Let X Be A Binomial Variable X Bin N P For Some 0 Chegg Com



Binomial Rv B N P 2 Simulating A Binomial Rv One Procedure For Generating Uses N Exi Is Homeworklib



Solved Joint Probability Mass Function P A B P X A Chegg Com



Further Stats Ch2 Flashcards Quizlet



Constraint Based Causal Discovery With Mixed Data Abstract Europe Pmc



A Stochastic Stefan Problem Springerlink



Conditional Distribution



Solved 2 Suppose X Is Distribute Binomial With Paramete Chegg Com



Information Bottleneck Implementation For Clustering Stack Overflow



Probability Density Function Wikipedia



1ttimesb N1 P And Yb N2p An See How To Solve It At Qanda



Solved Problem 2 Let A R And B R If X Follows A N Chegg Com



Electron Density Of States Pdos Projected Onto The Atomic Orbitals Download Scientific Diagram



Finding The Pgf Of Z Using Conditional Expectation Mathematics Stack Exchange



Chapter 4 Basic Probability And Probability Distributions Probability



Introduction To Bayesian Learning ron Hertzmann University Of



B To Calculate Var X We Need To Know E X 2 By Linearity Of Expectation E X 2 E Course Hero



Ppt Joint And Marginal Distribution Functions Powerpoint Presentation Id



If Random Variable X Y Y Sim Mathcal B Y P Then Mathbb E X Color Red N Y Y Yp Mathematics Stack Exchange



What Does X B N P Mean Quora



If X And Y Are Independent Wh See How To Solve It At Qanda



Natural Analogy A Hessean Approach To Analogical Reasoning In Theorizing Springerlink



Solved 1 The Probability Mass Function Pmf Or Probabil Chegg Com



Statistik Topic8 Special Probability Distribution



Solved Consider The Following Binomial Distribution With Chegg Com



If The Straight Line X Cosalpha Ysinalpha P Touches The Curve


コメント
コメントを投稿